Weekly project Formal Proposal due this Sunday night. - Guidelines are on Moodle and class website
Remote class this Wed. and Friday. (Recorded lecture for Wednesday; Work-space on Friday)
Two weeks ago, we introduced the ideas of \(\alpha\), \(\beta\), and \(\gamma\) diversity
\(\alpha\) diversity: Diversity at the smallest spatial scale
\(\gamma\) diversity: Diversity at the largest spatial scale
\(\beta\) diversity: Turnover in diversity
Let’s calculate \(\alpha\), \(\beta\), and \(\gamma\) diversity.
\(\alpha_{\text{community }1} = 7 \text{ species}\)
\(\alpha_{\text{community }2} = 6 \text{ species}\)
\(\gamma = 8 \text{ species}\) (A,B,C,D,E,F,G,H)
\(\beta\) is the number of species unique to one community

At a global scale, decrease in \(\gamma\) diversity over time
But what about at local scales?
Globally, species extinction rates have increased relative to the background rate found in the fossil record by tenfold to 1000-fold
“However, if we examine the literature on empirically documented trends in biodiversity, a complex picture emerges with many contradictory results”
Say we are interested in diversity of birds on an island over time.
Trends in \(\alpha\) diversity?
Trends in \(\beta\) diversity?
Say we are interested in diversity of birds on a different island over time.
Trends in \(\alpha\) diversity?
Trends in \(\beta\) diversity?
Say we are interested in diversity of birds on multiple islands over time.
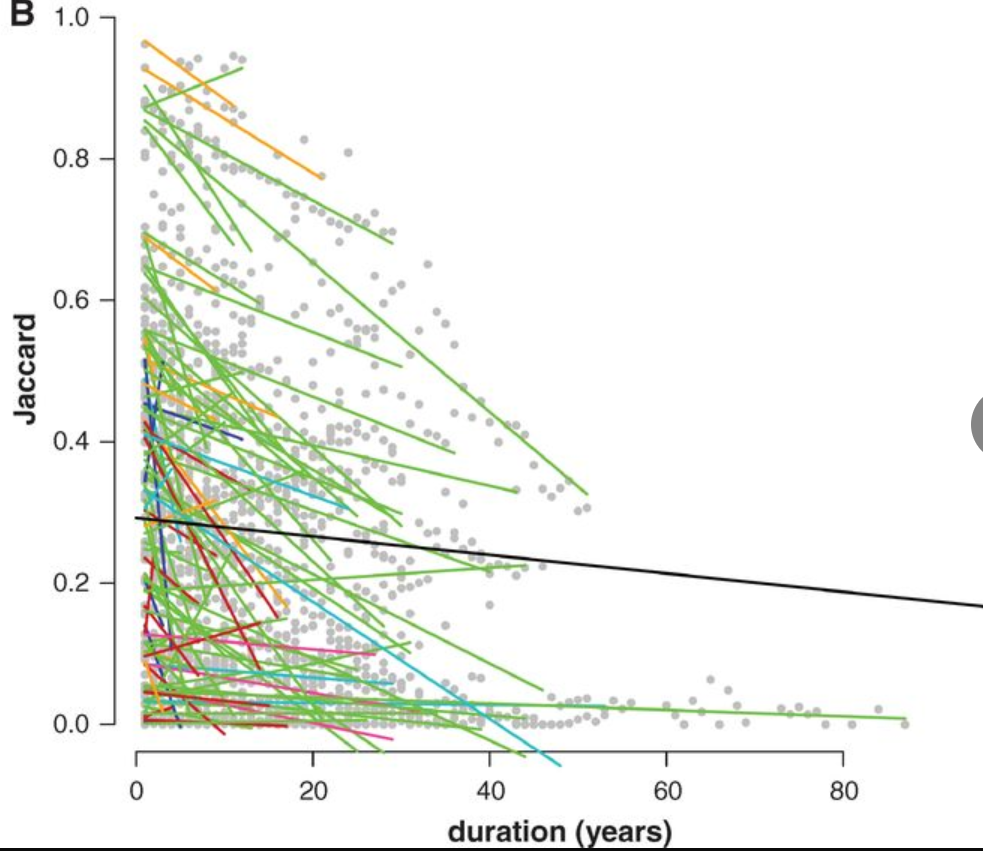
Within sites, little change in \(\alpha\) diversity
But within sites, substantial temporal \(\beta\) diversity
What does this mean?
Globally, species loss is happening - there is no doubt of that.
But, if we look at the same place over and over again through time, we are not seeing consistent declines in diversity
Instead, what we are seeing is a change in species
This means that as species extinctions happen, other species are “winning out”
One potential driver is that intensification of trade and transport, combined with the rapid increase in invasions of exotic taxa, is leading to the homogenization of species composition at local scales
Although homogenization may lead to a global loss of species, α diversity at local scales may stay constant or even increase as invaders replace residents and β diversity changes through time (11).
This was the mechanism that Elton highlighted when he first voiced concerns about global biodiversity loss [in 1958!]
Where does this leave us with the global extinction crisis?

“Even faced with dramatic environmental change, species richness (\(\alpha\)) can remain, on average, constant. However, this apparent constancy hides enormous turnover in the identities of the species present”
Implications:
The main argument of McGill et al. is that ecologists should not pretend that biodiversity crisis is easy to explain
We need to be nuanced in data collection, careful in analysis, and transparent in communication – even when the message is complicated
This path will lead to honest public awareness and better policies.
What do you think?