
What questions come to your mind?
How many bats live in this group?
Ecology as a discipline is motivated by human efforts to
describe, understand, predict, and modify nature.
Contemporary ecology research aims to understand
the factors that shape where organisms live,
how their abundances change over time,
how interactions shape communities and ecosystems,
and how these are affected by global environmental change.
This course will introduce you to the questions that motivate the field of ecology, the approaches that ecologists take, and the implications of ecological research for societal challenges.
“I am an ecologist, and I spend my time thinking about the origins, structure, maintenance, and consequences of diversity.”
Research focus: How are the above-ground dynamics of plant communities affected by below-ground microorganisms?
How to call me: Dr. Kandlikar (like “candy car”, but “candly-car”), or Dr. G, or Dr. K, or Gaurav (like… “gau-rav”)
Photo by Gaurav, of Tejon Ranch in southern California
Photo by Gaurav, of a forest canopy in south India
Find out more at gklab.org:
How many bats live in this group?
Why is this simple question not very simple to answer?
Some complicating factors:
Photo by Matej Spulak on Unsplash
Common themes in ecology
Photo by Matej Spulak on Unsplash
Over the semester, you will develop skills to:
Photo by Matej Spulak on Unsplash
Over the semester, you will develop skills to:
How many bats live in this group?
How many bats live in this group?
Mark-Recapture as a method to estimate of population size:
\(N_{Marked}\): number of individuals marked in first sample
\(N_{Captured}\): number of individuals captured in second sample
\(N_{Captured,\ Marked}\): number of individuals in the second sample that are marked
\(N_{Total,\ Estimated}\): estimate of total population size
\[N_{Total,\ Estimated} = \frac{N_{Marked}*N_{Captured}}{N_{Captured,\ Marked}}\]
Worked example
On your first sampling day, you mark 200 bats with a metallic tag (\(N_{Marked} = 200\))
You return to the bridge next week, and capture 1500 bats (\(N_{Captured} = 1500\))
Of the 1500, only 17 bear the metallic tag mark (\(N_{Captured,\ Marked} = 17\))
Intuition: Since you marked 200 bats initially and only recaptured 17 in a large sample of 1500, you were only able to mark a small fraction of the bats!
\[N_{Total,\ Estimated} = \frac{N_{Marked}*N_{Captured}}{N_{Captured,\ Marked}} = \frac{200*1500}{17} \approx 17647 \mathrm{\ bats}\]
What is Ecology?
Ecology as a discipline is motivated by human efforts to
describe, understand, predict, and modify nature.
Contemporary ecology research aims to understand
the factors that shape where organisms live,
how their abundances change over time,
how interactions shape communities and ecosystems,
and how these are affected by global environmental change.
This course will introduce you to the questions that motivate the field of ecology, the approaches that ecologists take, and the implications of ecological research for societal challenges.
Photo by Matej Spulak on Unsplash
Common themes in ecology
Photo by Matej Spulak on Unsplash
Over the semester, you will develop skills to:
This course will be administered through Moodle and
https://ecology.gklab.org.
Grading philosophy
Your grade in this class will reflect your performance in three areas:

Make space for deliberately thinking about how lessons from basic ecology apply to our increasingly complex and “weird” environment
Reflect on what topics you find especially engaging and/or especially challenging
Schematic for grading self-reflections
10 points: Deeply engaged with one or more of the reflection prompts (or other topics of your own choosing). Deep engagement could mean that you connected ideas from class to activities or observations outside, identified ideas or skills that you were finding difficult and contemplated potential ways of resolution, etc.
8 points: Engaged with the reflection prompts, but only in a cursory way. Did not go “beneath the surface” of any topic, rather just wrote down the first set of ideas that came to mind about the topic at hand.
6 points: Completed a submission that roughly counts as a progress update, but made no attempt to reflect on your learning, either in this course or outside of this course.
4 points: Made half an attempt at completing a submission.
0 points: Did not submit.
Themes for first self reflection:
Reflections on ecology
Reflections on the semester
Photo by Jeffrey Hamilton on Unsplash
Population ecology:
How do individuals of a given species (“conspecific individuals”) interact with one another?
Does the nature of interactions vary across environments?
How do these interactions affect population dynamics?
Under what conditions do populations grow, shrink, or stabilize?
Photo by Mason Field on Unsplash
Community ecology:
How do individuals of different species (“heterospecific individuals”) interact with one another?
Does the nature of interactions vary across environments?
Why are some species able to coexist with one another over long timescales, while other sets of species cannot persist with one another?
What regulates the dynamics of species interactions across trophic levels (e.g. predator–prey interactions)?
Photo by Courtney Kenady on Unsplash
Landscape ecology:
What are the patterns of diversity across ecological gradients?
What processes give rise to variation in biodiversity across space and time?
How does human land use change restructure ecological communities?
Photo by NASA on NASA Earth Observatory
Ecosystems ecology:
How do energy and nutrients flow across ecosystems, for example at the scale of entire continents?
What are the consequences of disruptions to ecosystems cycles?
How do feedback loops shape the dynamics of ecosystems?
Photo by Matej Spulak on Unsplash
Common themes at all scales
Individuals of the same species living together
Individuals interact with one-another
e.g. mating, facilitating, competing
Consider a ‘closed’ population
no movement in or out of a population:
immigration = emigration = 0
Change in population size (\(N\)) only driven by births and deaths
There is some per-capita birth rate (\(b\)), and some per-capita death rate (\(d\))
Total number of births = \(b*N\)
Total number of deaths = \(d*N\)
\[\frac{dN}{dt} = bN - dN\]
\[\frac{dN}{dt} = (b - d) N\]
\[\frac{dN}{dt} = (b - d) N\]
\[\frac{dN}{dt} = r N\]
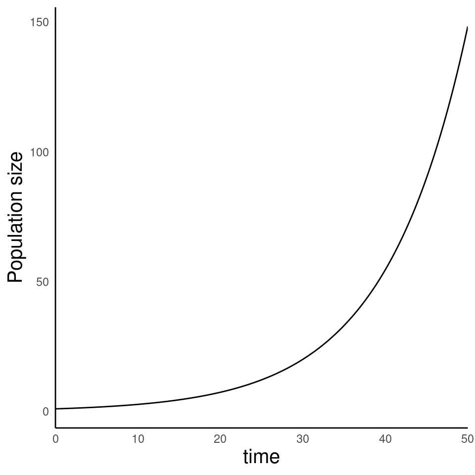
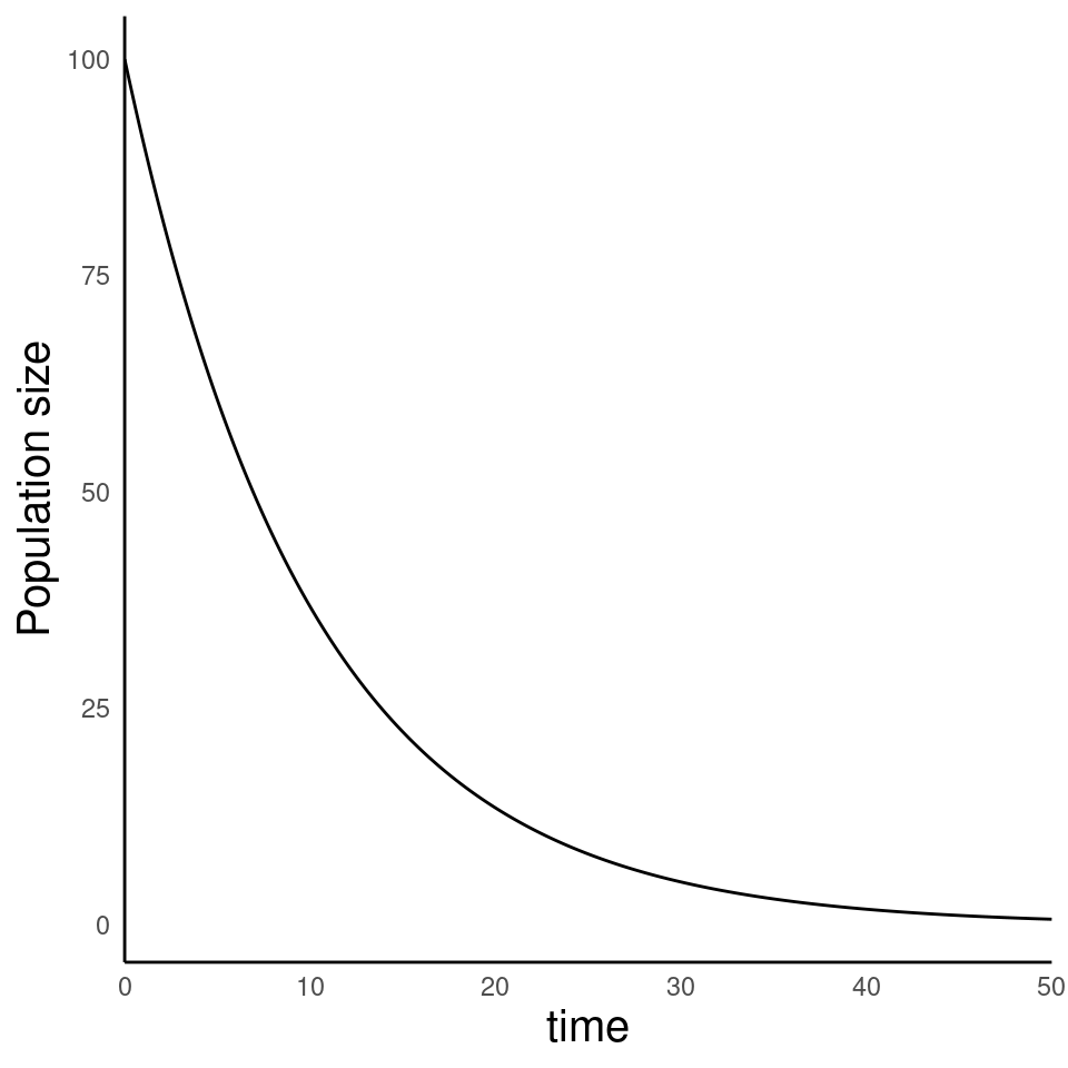
Populations grow when there are more births than deaths (\((b-d) > 0\); aka \(r > 0\))

Populations shrink when there are more deaths than births (\((b-d) > 0\); aka \(r < 0\))

The magnitude of \(r\) determines the rate of growth




Ibn Khallikan’s story of the first chessboard
What are some reasons that an ecologist would want to know the size of a population?
Tim Peltier, a biologist for the Alaska Department of Fish and Game in Palmer, explains one of the reasons why biologists have such an important job. “We count moose, caribou, sheep, and to a lesser extent bears and wolves,” he said. “The Board (of Game) has determined the population and harvest objective in each area and we are tasked with determining how close we are to those objectives. We need to have an idea of the population size.”
- Alaska Dept. of Fish and Game
What are some reasons that an ecologist would want to know the size of a population?
Most often monitoring programs are designed to help managers and policy makers make more informed decisions. Monitoring allows decisions to be based less on beliefs and more on facts. We may believe that grasshopper sparrows in New England are decreasing in abundance because grasslands are being converted to housing (Figure 1.1). Only after a rigorous, unbiased monitoring program has been in place can we say that yes, indeed, the population seems to be declining (Figure 1.2) and that the decline is associated with the loss of grasslands.
- Monitoring animal populations: A practitioner’s guide
If you wish to harvest a lake trout population, one helpful bit of information is the size of the population you wish to harvest. If you are trying to decide whether to spray a pesticide for aphids on a crop, you may wish to know how many aphids are living on your crop plants. If you wish to measure the impact of lion predation on a zebra population, you will need to know the size of both the lion and the zebra populations
- Estimating abundance in animal and plant populations
Refresher on Mark-Recapture as a method to estimate of population size:
Refresher on Mark-Recapture as a method to estimate of population size:
\(N_{Marked}\): number of individuals marked in first sample
\(N_{Captured}\): number of individuals captured in second sample
\(N_{Captured,\ Marked}\): number of individuals in the second sample that are marked
\(N_{Total,\ Estimated}\): estimate of total population size
\[N_{Total,\ Estimated} = \frac{N_{Marked}*N_{Captured}}{N_{Captured,\ Marked}}\]
Form groups of 2-3 people each
Each group gets a bag with an unknown number of beans. This is your “true population”
Each bag indicates how many beans you should “Mark” in your first round of sampling.
Each bag also indcates how many beans you should “Recapture”
Mark the assigned number of beans once, recapture the assigned number five times.
Record \(N_{Captured,\ Marked}\) each time you recapture. Estimate your population size using the formula \[N_{Total,\ Estimated} = \frac{N_{Marked}*N_{Captured}}{N_{Captured,\ Marked}}\]
Once you are done with 5 “recaptures”, report your results to Gaurav.